尊敬的新老客户您好,本公司国庆放假通知如下:2025年10月1日- 10月8日,10月9日正式上班,因放假期间带来的不便,敬请谅解!若情况紧急,可添加段经理微信留言,谢谢配合!
尊敬的新老客户您好,本公司国庆放假通知如下:2025年10月1日- 10月8日,10月9日正式上班,因放假期间带来的不便,敬请谅解!若情况紧急,可添加段经理微信留言,谢谢配合!
水性PVB树脂是什么意思 PVB树脂,中文名为聚乙烯醇缩丁醛树脂,是一种有机高分子,常温下为白色颗粒...... PVB 聚乙烯醇缩丁醛 pvb水性
端羟基聚丁二烯羟基特性简介 以过氧化氢为引发剂,采用自由基法制备端羟基聚丁二烯...... HTPB 端羟基聚丁二烯
1,2,4-丁三醇合成方法简介 1,2,4-丁三醇合成有4条工业生产路线...... 增塑剂
丁三醇是什么 丁三醇又称1,2,4-丁三醇是一种无色、无味、透明、水溶性、粘性的糖浆状多元醇。市面上出售的丁三醇,通常是稻草黄色至棕色的粘性液体,有甜味,无毒...... 增塑剂
HTPB在涂层的应用 将HTPB与过量 TDI 反应得到的端异氰酸酯预聚合物与羟乙基丙烯酸酯(HEA) 或甲基丙烯酸甲酯(HEMA) 反应,从而得到端乙烯基聚丁二烯(VTPB) ,并通过光照得到良好的涂层...... HTPB 端羟基聚丁二烯
端羟基聚丁二烯用于浇注弹性体 使用端羟基聚丁二烯液态橡胶制成的弹性体已广泛用于橡胶产品,例如铸造橡胶跑道以及特殊垫圈等..... HTPB 端羟基聚丁二烯
丁羟胶在复合固体推进荆中的应用 丁羟胶?研究、开发和应用于胶粘剂中,作为复合固体推进剂中的胶黏剂...... 端羟基聚丁二烯 HTPB 丁羟胶 液体端羟基聚丁二烯
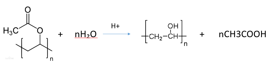
聚乙烯醇缩丁醛简称 聚乙烯醇缩丁醛简称PVB,英文全称Polyvinyl Butyral...... PVB 聚乙烯醇缩丁醛
端羟基聚丁二烯聚氨酯简介 端羟基聚丁二烯聚氨酯是将端羟基聚丁二烯引入聚氨酯材料中,并且具有比聚醚型更好的耐水解性...... HTPB 端羟基聚丁二烯 端羟基聚丁二烯价格 端羟基聚丁二烯生产厂家
卡托辛的热分解反应 卡托辛作为一种优良的燃烧速率催化剂,在**系统中具有广阔的应用前景...... 燃速催化剂 叔丁基二茂铁 二茂铁 卡托辛
碳纳米管/聚乙烯醇缩丁醛相变纤维的优点 力学性能分析结果表明,在聚乙烯醇缩丁醛鞘层中掺入碳纳米管可以有效地提高相变纤维的力学强度...... PVB 聚乙烯醇缩丁醛
六方氮化硼的机械性能及拉曼光谱特性 六方氮化硼是一种莫氏硬度值为2的柔性材料。由于六方氮化硼的晶格结构与石墨相似,具有良好的各向异性。 六方氮化硼 氮化硼 硼系列产品
pvb树脂耐高温吗 PVB树脂耐高温性较好,并且与其粘度相关,粘度越大,耐高温性越好,其应用领域区别较大...... PVB 聚乙烯醇缩丁醛
聚乙烯醇缩丁醛非均相介质中的缩醛反应 在聚乙烯醇缩丁醛的制备过程中,在非均相介质中所谓的缩醛化反应...... PVB 聚乙烯醇缩丁醛
六方氮化硼的热学及化学性能 六方氮化硼具有很强的耐热性,在无氧材料的应用中具有明显的优势。 硼系列产品 氮化硼 六方氮化硼
湖北基地新增3000吨聚乙烯醇缩丁醛项目 前言:聚乙烯醇缩丁醛(PVB树脂)广泛应用于汽车安全玻璃、建筑安全玻璃、太阳能光伏组件封装膜、涂料、底漆、油墨等领域,市场需求量大、附加值高...... PVB 聚乙烯醇缩丁醛
溶剂中水含量对聚乙烯醇缩丁醛溶解性的影响 为了研究溶剂中水含量对聚乙烯醇缩丁醛溶解度的影响,通过选择常用于生产应用的良溶剂四氢呋喃以及溶剂乙醇进行试验...... PVB 聚乙烯醇缩丁醛